Jump to content

Jaelyn

Members
  • Posts

    1
  • Joined

  • Last visited

Jaelyn's Achievements

Newbie

Newbie (1/14)

  • Week One Done
  • Conversation Starter

Recent Badges

0

Reputation

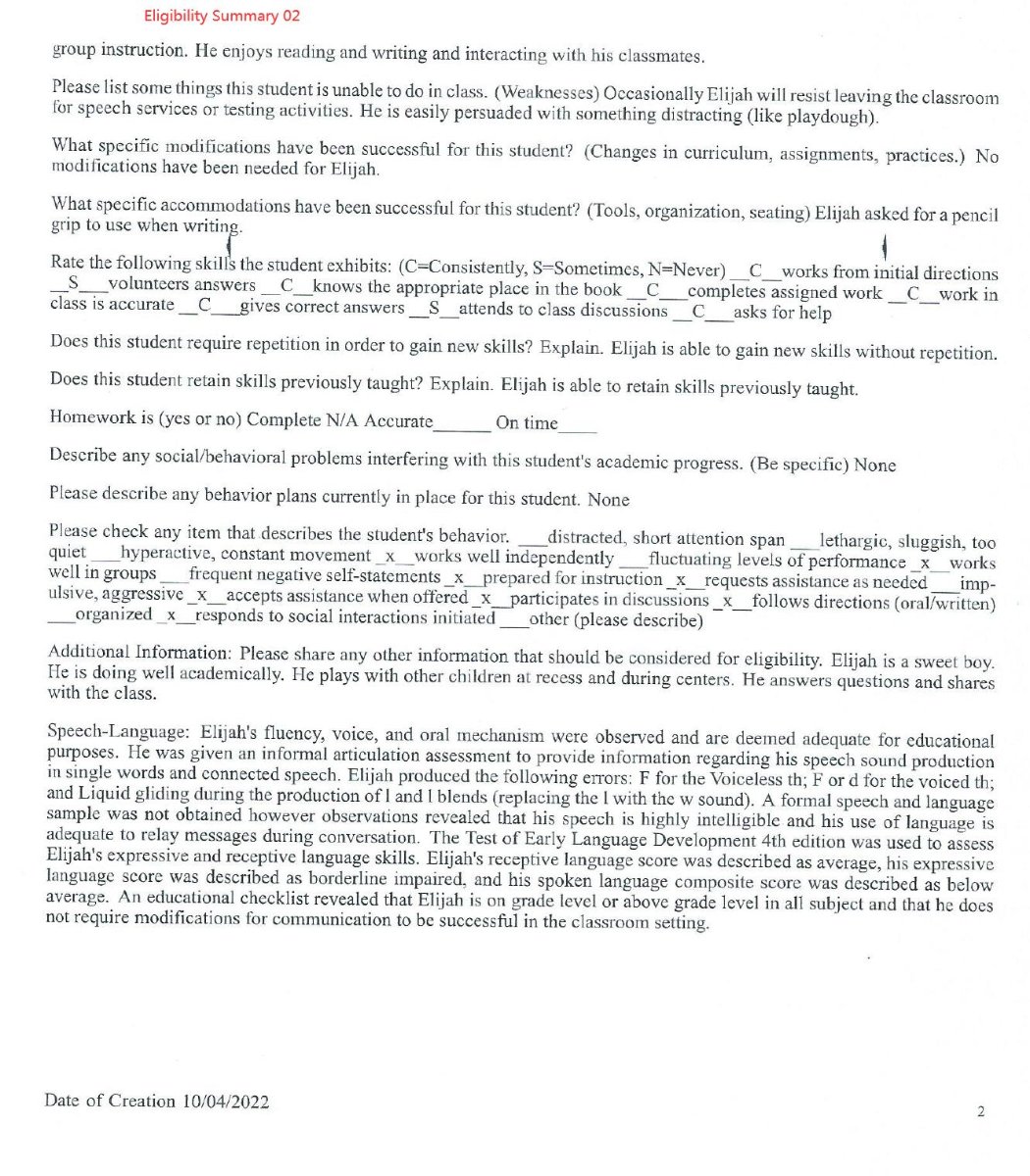
  1. We just had our eligibility meeting. It went as expected as the school proposed terminating all services as no evidence showed autism affecting the child's education. I am proud of my child! But I do have concerns. Anyways, to me, the whole process is like it doesn't matter what the testing results say. It comes down to the observation of others, including therapist's, the classroom teacher's, and/or whoever else had worked with my child. According to my child's teacher, my child has been making friends, interacting with peers, and progressing at or above grade level academically. The school Psychologist said the results on the WPPSI are incorrect, so it provides no valuable information. But then they used the full-scale IQ score to tell my child is in the average range. Speech-Language: TELD-4 Elijah's receptive language score was described as average, his expressive language score was described as borderline impaired, and his spoken language composite score was described as below average. An educational checklist revealed that Elijah is on grade level or above grade level in all subjects and that he does not require modifications for communication to be successful in the classroom setting. While Elijah demonstrated some difficulty with expressive language, these results should be considered with caution to variations in his performance. I shared concerns that my child has been working on pronouns for over a year now, but for some reason, he loves the pronoun "he" in all situations. The SLP said the goals we had for my child on his previous IEP were hard for him for his age. Then the assistant principal said we are supposed to be working on lower levels and not to be taken advantage of the IEP, something like that. (Is it true that we ARE NOT supposed to work on a higher level?) The assistant principal said no needs had been identified because my child has been doing well academically and is on and above grade level. Then the team suggests a 504 plan. But I refused. So currently, we are under stay put as we disagree. I share my parent concern letter here as well. I know my child stays put for now. But, is there a high chance that my school/district will file due process? Of course, no one knows; it's guessing based on the information given here. I want to ask for IEE. But likely, they will review but not accept them. They don't even carry/follow their testing results because my child can do many things when observed by them. Please share your insights. TIA! We're in VA.
×
×
  • Create New...

Important Information

Terms of Use